经典著作,值得一读,英文原版下载链接【免费】ModernRadarforAutomotiveApplications资源-CSDN文库。
在本节中,我们讨论了汽车MIMO雷达的设计挑战,包括多径反射存在时的测角、波形正交性和高效高分辨率角度估计算法开发。
汽车雷达在多路径场景下工作[81]。一般来说,在存在多径的情况下,无线电传播沿着四种可能的路径进行,即直接/直接、直接/间接、间接/直接和间接/间接路由。
图3.16为垂直多径场景,雷达高度为hS,目标高度为hT。直接/直接路径的长度为d1 = 2r1,直接路间接路径或间接/直接路径的长度为d2 = d3 = r1 + r2 + r3,间接/间接路径的长度为d1 = 2(r2 + r3)。接收到的信号经过这四条路径后可以写成
(3.33)
其中幅度项βi是天线增益、路径损耗、道路反射系数和目标RCS的函数。来自间接路径的信号和来自直接路径的信号很可能到达时相位不一致,因此加起来具有破坏性。因此,接收信号的功率会随着距离的变化而变化[81],因此在信噪比零点处的测角将是不稳定的。

图3.16 直接路径和垂直多径[6]。
同时配置发射天线和接收天线的MIMO雷达,也称为单站MIMO雷达,是建立在DOD和DOA相等的假设基础上的。然而,在存在多径的情况下,该假设不成立,系统变成双基地[82,83],即发射和接收天线从不同的角度观察目标。图3.17显示了一辆平行于护栏行驶的车辆,其左前角安装了一个SRR传感器。雷达信号直接路径的长度dr1 = r1,对应θt=θr=θ1。由于护栏也有多路径反射。第一个多径反射的距离为dr2 = (r1 + r2 + r3)/2,对应θt=θ1,θr=θ2或θt=θ2,θr=θ1。第二次多径反射的距离为dr3 = r2 + r3,对应θt=θr=θ2。与直接路径相比,多路径反射的距离更远,多普勒更小。对于第一种多径,距离和多普勒bin与镜像目标检测相同。然而,作为θt≠θr,结果是每个虚拟阵列阵元的相位都被破坏了。换句话说,单基地MIMO雷达的假设不成立,这就导致了一个与镜像目标方向不同的“幽灵”目标。
为了解决这个问题,文献[82-84]提出了一些想法。例如文献[82]中提出了DOD和DOA的联合估计,但该方法忽略了发射阵列的结构,无法享受到合成虚拟阵列的好处。文献[83]利用偏振特征在多路径场景中分离物体。然而,文献[83]中的方法只能将某些真实目标情况与其镜像目标分开,例如,当真实目标已知,并且可以识别多径的极化状态变化时。文献[83]中的方法在幽灵目标方向与镜像目标方向不同的情况下不适用。多普勒信息可用于在多路径下检测城市地区的移动车辆[84]。然而,当物体和宿主车辆都处于静止状态时,多普勒信息并不总是可用的。总的来说,由于多径的存在,MIMO雷达中的幽灵目标问题需要更多的研究。

图3.17 一个典型的多路径反射场景沿护栏为一个近程雷达传感器安装在左前角[6]。
汽车FMCW雷达可采用TDM、DDM、FDM等不同策略实现波形正交性。然而,需要解决与每种策略相关的几个挑战。例如,在TDM方案中,发射天线之间的调度延迟可能会给运动目标带来相位误差,需要对其进行补偿;否则,合成的阵列波束会发生畸变。此外,在时分复用(TDM)方案下,最大无模糊可探测速度降低了一个Mt的系数。在DDM方案中,由于相位编码的残余,多普勒副瓣很高。因此,RCS较小的目标(如行人)靠近反射强烈的目标(如卡车)可能会被掩盖。随机算法对相位码的搜索时间随着码长的增加呈指数增长。需要计算效率高的算法来解决这个问题。在FDM方案中,虽然发射天线间的频移随机化可以减少距离角度耦合,但需要大量的发射天线才能显著改善[16]。
最近,PMCW被用于实现正交性[85-88]。每个天线发送一串相位编码脉冲。设
(3.34)
为第m个发射天线的复数单模编码序列,其中
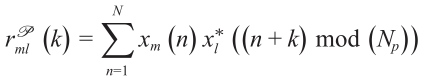
是Xm的第n个编码,Np是编码长度。在这里,相位φm(n)可以在[-π, π]中任意选择。单个码序列的持续时间为Tp = Np*Tc,其中Tc为子脉冲的持续时间。在实践中,二进制码序列由于其简单性而被广泛使用。PMCW的带宽为B = 1/Tc。码序列的时带宽积为BTp = Np。由于脉冲是连续传输的,因此编码序列应具有良好的周期性自相关和互相关特性[85]。定义两个码序列Xm和Xl在延迟k时的周期互相关为
(3.35)
当m=l时,
成为Xm的周期自相关函数。良好的相关特性要求周期自相关在非零滞后时的值和互相关在任意滞后时的值都要低。Mt序列集合中任意一对周期为Np的二元序列相互相关的Welch下界等于[89]
(3.36)
良好的周期互相关特性有助于实现波形正交性,而良好的周期自相关特性使使用匹配滤波器更容易提取从感兴趣的距离bin反射的信号,并抑制从其他距离bin反射的信号。
与FMCW相比,PMCW雷达有几个优点。PMCW雷达更适合在具有大量发射天线的成像雷达中实现波形正交性。PMCW雷达可以利用具有良好自相关和相互相关特性的现有序列,这些序列以前是为码分多址通信开发的,如Gold、Kasami和m-序列[90-92]。此外,在PMCW雷达中,每个汽车雷达传感器可以有一个唯一的数字序列,这可能有助于减少汽车雷达的相互干扰。作为奖励,PMCW雷达还提供一定的通信能力[93],因此可以探索作为双功能雷达通信系统[94]。
然而,PMCW雷达在实现上存在许多挑战。首先,ADC的采样率应满足奈奎斯特规则,即fs ≥2B = 2/Tc。高距离分辨率所需的高带宽需要高速ADC和高速处理硬件。在实践中,要求ADC的分辨率尽可能低[95]。其次,根据式(3.36)的Welch界,任意一对二值序列的互相关下界均为
阶,这可能无法提供不同天线发射波形的充分分离。在实际应用中,期望码序列的自相关和互相关在低相关区内具有低副瓣。此外,由于PMCW中距离和拍频信号之间没有映射关系,因此很难使用高通模拟滤波器来抑制或衰减超近距离返回信号,包括来自发射天线的直接路径信号、来自雷达天线罩和车辆保险杠的反射信号。这增加了动态距离的挑战,特别是当ADC的分辨率必须保持尽可能低的时候[95]。
汽车雷达的典型观察持续时间约为50 ms,对应于20 Hz的检测更新速率[96]。在如此短的时间内,当前一代用于ADAS的汽车雷达最多可以报告64-200个探测。使用高分辨率成像雷达,在一个典型的道路场景中,可以从二维距离和多普勒频谱中选择进行角度查找的单元数约为10,000个[62]。为了实现用于自动驾驶的点云,需要在一次观测中进行数千次角度查找,这对于具有数百个虚拟阵列阵元的成像雷达来说是一个巨大的挑战。计算效率高、分辨率高的寻角算法是汽车雷达实时实现的迫切需要。
为了降低计算复杂度,提出了波束空间ESPRIT[28]和一元ESPRIT[29]算法。波束空间ESPRIT的思想是将原始ULA矢量通过FFT等变换分解成多个低维波束空间。然后,如果波束空间变换矩阵具有相同的位移不变性结构,则可以通过ESPRIT在每个波束空间上并行进行寻角,减少了计算时间[28]。统一ESPRIT算法利用了表示两个子阵列之间相位延迟的相位因子的单位量级特性,并以实值计算形式表述。因此,它大大降低了计算复杂度[29]。
每次IAA迭代的计算代价为
,其中M为阵列快照个数,N为离散网格个数。文献[97-99]中分别提出了快速和超高速IAA算法。快速IAA算法利用FFT运算和矩阵
的Gohberg-Semencul表示。因此,每次快速IAA迭代的计算代价为
,其中
表示执行大小为N的FFT的计算代价,即O(NlogN)[98]。超高速IAA采用共轭梯度算法逼近矩阵
,进一步降低了计算量。
表3.1总结了3.3节中讨论的每种DOA估计算法在应用于汽车雷达场景时的优势和局限性。对于基于子空间的高分辨率DOA估计方法,如MUSIC和ESPRIT,汽车雷达阵列需要ULA,并且需要多个快照来准确估计阵列协方差矩阵。然而,在高度动态环境中运行的汽车雷达通常依赖于单个快照。虽然可以通过空间平滑或将一个chirp分割成子chirp来生成多个快照,但相关的成本分别是减少阵列孔径或降低信噪比。SLA在汽车雷达中得到了广泛的应用,进一步降低了硬件成本。然而,将MUSIC或ESPRIT应用于基于SLA的汽车雷达并非易事。另一方面,DBF和基于稀疏度的高分辨率方法,如OMP和IAA,适用于基于SLA和ULA的汽车雷达,并使用单个快照。在DBF方法中,可以通过计算DOA谱中的峰数来估计目标的数量。DBF对相干或相关信号不敏感,在基于子空间的方法[100]中,相干或相关信号需要通过空间平滑进行特殊预处理。已有研究表明,DBF对阵列阵元位置误差具有鲁棒性,且计算成本低[100]。然而,DBF并不是一种高分辨率的方法。此外,由于OMP和IAA是迭代方案,它们涉及高计算成本,这限制了它们在当前一代汽车雷达中典型使用的低成本嵌入式DSP中的适用性。此外,DBF、MUSIC、OMP和IAA方法假设目标在网格上,当目标出现在网格点之间时,会产生误差。总之,需要进行更多的研究来开发计算效率高、高分辨率的DOA估计算法,这些算法对噪声具有鲁棒性,并且适用于单快照下使用低PSL的SLA的汽车雷达。
表3.1 汽车雷达场景下不同的DOA估计算法总结

更多【汽车-现代雷达车载应用——第3章 MIMO雷达技术 3.5节 汽车MIMO雷达的挑战】相关视频教程:www.yxfzedu.com